

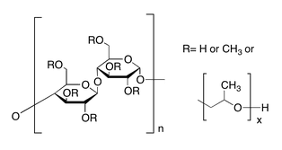
Hydroxypropyl methyl cellulose or HMPC or MHPC produced in daman manufacturing facility with all document support. (Hypromellose) is a cellulose ether (Hydroxypropylmethyl Cellulose) used as an excipient for the Pharmaceutical, Nutraceutical, and Food Industries due to its efficient and stable functionalities, meeting various needs of customers. (Hydroxypropylmethyl Cellulose) that comes in diverse viscosity range starting from 3 cps upto 200,000 cps. Also known as (Hydroxypropyl methylcellulose, E464, HPMC) by Hypromellose manufacturers, this can be multi laterally used for tablet & pellet coating, granulation, binder, thickener, sustained release polymer, suspension, stabilizer and for making Veg Capsules. We are the leading, trusted HPMC supplier worldwide and in the United States, with reliable lead times and global supply capability.

Hydroxypropyl methyl cellulose or HMPC or MHPC produced in daman manufacturing facility with all document support. (Hypromellose) is a cellulose ether (Hydroxypropylmethyl Cellulose) used as an excipient for the Pharmaceutical, Nutraceutical, and Food Industries due to its efficient and stable functionalities, meeting various needs of customers. (Hydroxypropylmethyl Cellulose) that comes in diverse viscosity range starting from 3 cps upto 200,000 cps. Also known as (Hydroxypropyl methylcellulose, E464, HPMC) by Hypromellose manufacturers, this can be multi laterally used for tablet & pellet coating, granulation, binder, thickener, sustained release polymer, suspension, stabilizer and for making Veg Capsules. We are the leading, trusted HPMC supplier worldwide and in the United States, with reliable lead times and global supply capability.
Pharmaceutical, Food & Nutrition
Food Ingredients, Excipients
Binders & Disintegrants, Thickeners & Stabilizers

Chemical Properties & Specifications
Controlled-release agent in Sustained Release (SR) and Extended Release (ER) tablet formulations. Primary material for HPMC vegetarian capsules, which are dominating the market in 2026 over traditional gelatin
Found in "Artificial Tears" and lubricating eye drops as a viscoelastic agent to treat dry eye syndrome
Functions as a water-retention agent and thickener in dry-mix mortars, tile adhesives, and gypsum-based plasters
Emulsifier, thickener, and stabilizer (E464) in gluten-free bakery products and plant-based meat alternatives to mimic the texture of gluten